Yandex.Metrica
Посмотреть другое: Цементные силосы

EN KR CN

Обеспечение сохранности зерна: инновации SRON в системах хранения и транспортировки зерна на основе теории механики сыпучих материалов

Dec.11, 2025Ключевые слова: SRON

     В отрасли хранения и транспортировки зерна, такой как рис, владельцы сталкиваются с ключевыми проблемами, которые в основном сосредоточены в трех аспектах: во-первых, образование микротрещин в зерне из-за ударов при падении с высоты; во-вторых, локальные повреждения от напряжений, вызванные статическим давлением при глубоком складировании; и в-третьих, вторичное разрушение, возникающее в процессе динамической транспортировки. Эти скрытые повреждения, которые трудно обнаружить невооруженным глазом, не только напрямую приводят к снижению выхода целого риса и общего выхода риса высшего сорта, но также вызывают ухудшение качества хранимого зерна и потерю рыночной стоимости, ежегодно нанося предприятиям значительные экономические потери. На основе глубокого изучения механических свойств сыпучих сред, таких как рис, и механизмов сил, действующих в процессах хранения и транспортировки, компания SRON разработала системные решения, основанные на контроле конечной скорости, оптимизации модели давления Janssen и принципе рассеивания кинетической энергии.
 
     Научная основа: от механизма повреждения частиц к инженерным параметрам защиты
 
Команда разработчиков SRON, используя в качестве теоретической основы механику дискретных частиц для таких материалов, как рис, преобразовала проблему повреждения зерна в процессе хранения и транспортировки в механические модели, поддающиеся количественному анализу. Путем системного изучения различных механических воздействий на частицы на всех этапах процессов хранения и транспортировки была создана комплексная модель механизма повреждения, а теоретические результаты преобразованы в систему защитных параметров, применимых в инженерии.
Формула теории динамического удара

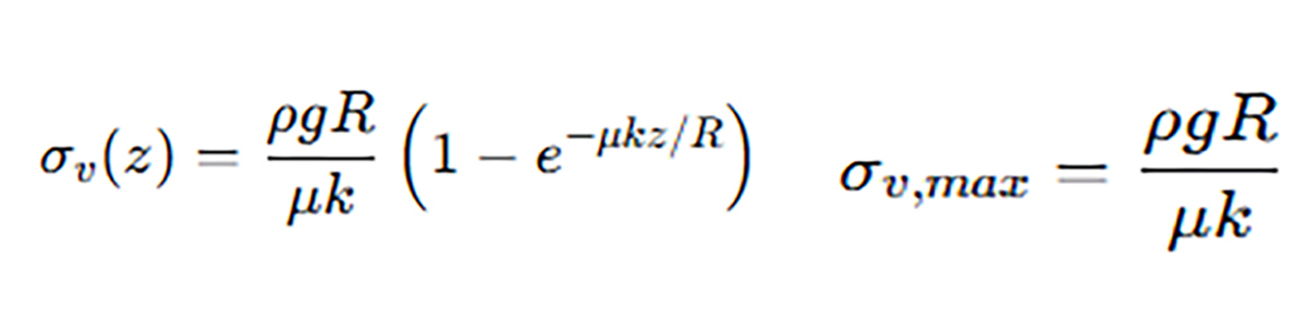
Формула теории статического складирования
 
     Ключевые технологии: трехступенчатая система механической защиты
 
     Основываясь на теоретическом понимании, Shirong создала трехступенчатую систему защиты, охватывающую весь процесс хранения и транспортировки, для системного управления различными рисками повреждения:
 
     Амортизация и рассеивание динамического удара
 
     Ключевой механический анализ показывает: конечная скорость свободного падения одной рисовой частицы (массой около 2.5×10⁻⁵ кг) в воздухе составляет примерно 5.33 м/с. Если с такой скоростью она вертикально ударяется о твердую поверхность (время удара около 0.001 с), теоретический пик ударного напряжения может достигать 13.3 МПа, что приближается к типичному пределу прочности на сжатие для риса (около 15 МПа). Это и является механической причиной разрушения при падении с высоты.
 
     Ключ к защите заключается в снижении пика ударного напряжения. Теоретические расчеты показывают, что при увеличении времени удара с 0.001 секунды до 0.01 секунды ударное напряжение может снизиться с 13.3 МПа до 1.33 МПа. Наша конструкция, используя амортизирующие структуры и материалы для увеличения времени ударного воздействия в сочетании с направляющими устройствами, изменяющими ориентацию падающих частиц для увеличения площади контакта и распределения ударной силы, гарантирует, что фактическое напряжение остается ниже предела прочности зерна на сжатие.

 
     Оптимизация напряжений при статическом складировании
 
     В условиях статического хранения, расчеты на основе теории глубоких силосов Janssen показывают: максимальное вертикальное давление на рис в нижнем слое силоса диаметром 30 м составляет всего около 0.22 МПа, что значительно ниже предела прочности на сжатие отдельной частицы. Это указывает на то, что основной механизм повреждения хранимого зерна — не макростатическая нагрузка, а концентрация напряжений из-за ограниченного контакта между частицами, а также динамические сдвиговые воздействия в процессе разгрузки.
 
     Коэффициент трения о стенку силоса обычно находится в диапазоне от 0.3 до 0.5, а коэффициент бокового давления контролируется в пределах 0.4–0.6. Следуя механическим закономерностям формулы Janssen, посредством научного выбора материалов и конструктивного проектирования достигается равномерное распределение вертикального давления внутри силоса. Используется технология разгрузки с формированием массового потока в центре в сочетании с рациональной конструкцией выпускного отверстия, что устраняет зоны сдвига, возникающие при воронкообразном потоке, и интенсивное трение между частицами, предотвращая локальные повреждения от напряжений как при статическом хранении, так и при выгрузке.

 
     Управление динамикой процесса транспортировки
 
     Интегрируя теорию удара при падении и статического давления, система управляет несколькими динамическими параметрами: в зависимости от физических свойств различных культур контролируются высота падения частиц и конечная скорость; на контактные поверхности наносятся специальные эластичные и износостойкие материалы для оптимизации характеристик контактного интерфейса и увеличения времени соударения. Путем системного регулирования трех ключевых переменных — импульса соударения, площади контакта и состояния распределения напряжений — достигается значительное снижение локальных пиков напряжений в процессе транспортировки.
 
     Интеллектуальный мониторинг: обеспечение качества на основе данных
 
     SRON разработала интегрированную систему интеллектуального мониторинга, разместив сеть высокоточных датчиков в ключевых точках силоса для мониторинга в реальном времени таких параметров, как распределение давления на разной глубине, изменение температуры и поток материала. Система, учитывая такие переменные, как влажность зерна, сорт и т.д., строит модель прогнозирования риска повреждения, предоставляя данные и рекомендации для принятия решений по управлению складом и планированию работ. Это позволяет перейти от пассивного реагирования к активной профилактике и уменьшить механические повреждения, вызванные ненадлежащими действиями персонала.
 
     Мировая практика: сочетание теории и практических доказательств
 
     На данный момент компания SRON получила более 100 патентов, выполнила проекты в более чем 40 странах и регионах мира, построив в общей сложности более 1000 высококачественных силосов, получив единодушное признание заказчиков как в Китае, так и за рубежом. Успешная реализация этих проектов не только подтвердила надежность технических решений SRON, но и внесла вклад в глобальную продовольственную безопасность, продемонстрировав китайский опыт.
 
     В будущем компания SRON продолжит работать в глобальном масштабе, предлагая клиентам комплексные решения, охватывающие проектирование, производство, монтаж и интеллектуальное управление. Это поможет клиентам осуществить всесторонний переход от «сокращения видимого разрушения» к «контролю скрытых повреждений», совместно способствуя развитию глобальной отрасли хранения и транспортировки зерна в направлении большей эффективности, экономичности и научной обоснованности.
 

Пожалуйста, не стесняйтесь дать ваш запрос в форме ниже. Мы ответим Вам в течение 24 часов..

  • * Имя :

  • Страна :

  • * Эл. адрес :

  • Мобильный :

  • Сообщение :

    ( Пожалуйста, постарайтесь поделиться с нами более подробной информацией о проекте силосной башни, чтобы наш инженер мог лучше вам помочь. .)